未翻訳
このページはまだ翻訳されていません。原文の内容が表示されています。
Left/Right
区切り文字の対応
lr関数を用いると、2つの区切り文字を対応させ、内部のコンテンツに合わせた大きさに拡大縮小できます。
これは構文的に対応が取れる区切り文字においては自動的に行われますが、lrを用いることで2つの任意の区切り文字を対応させ、その大きさを正確に制御することができます。
lr関数以外にも、Typstは、絶対値、切り捨て値、切り上げ値、ノルムを表す区切り文字ペアを生成する関数をさらにいくつか提供しています。
例
$ [a, b/2] $
$ lr(]sum_(x=1)^n], size: #50%) x $
$ abs((x + y) / 2) $

Function
lr要素関数要素関数要素関数はsetルールやshowルールでカスタマイズできます。
要素関数
要素関数
要素関数は
setルールやshowルールでカスタマイズできます。区切り文字の拡大縮小。
対応が取れている区切り文字はデフォルトで拡大縮小しますが、これは対応が取れていない区切り文字を拡大縮小させたり、区切り文字の拡大縮小をより正確に制御するのに便利です。
mid要素関数要素関数要素関数はsetルールやshowルールでカスタマイズできます。
要素関数
要素関数
要素関数は
setルールやshowルールでカスタマイズできます。最も近くで囲んでいるlr()グループに対して、垂直方向に区切り文字を拡大縮小します。
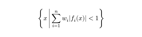
$ { x mid(|) sum_(i=1)^n w_i|f_i (x)| < 1 } $

body
拡大縮小させるコンテンツ。
abs
式の絶対値を取ります。
$ abs(x/2) $

norm
式のノルムを取ります。
$ norm(x/2) $

floor
式に床関数を作用させます。
$ floor(x/2) $

ceil
式に天井関数を作用させます。
$ ceil(x/2) $

